文章摘要:色差仪作为比较类仪器,在测量样品颜色时,可以给出比色后两个样品之间的颜色差异值,即色差值。那么,色差仪色差值怎么计算?色差仪色差值计算公式有哪些?本文对色差仪色差值计算方法及计算公式做了介绍,对此感兴趣的朋友可以了解一下!
色差仪作为比较类仪器,在测量样品颜色时,可以给出比色后两个样品之间的颜色差异值,即色差值。那么,色差仪色差值怎么计算?色差仪色差值计算公式有哪些?本文对色差仪色差值计算方法及计算公式做了介绍,对此感兴趣的朋友可以了解一下!

一般来讲,从拿到颜色样品到根据计算结果做出客观色差评价,大致需以下三个步骤:
1.测量样品
即使用合适的颜色测量仪器(光谱光度计)以获得代表样品光学特性的分光反射率ρ(λ)或分光透过率τ(λ);
2.计算三刺激值
即通过色度学的基础数据和测得的样品分光反射率,按规定公式求取三刺激值。实际上是客观定量地给出样品的颜色对人眼视网膜上视觉感光细胞产生的刺激,这种刺激通过神经冲动传至大脑,最终形成颜色的主观感觉;
3.计算色差值(△E)
即按一定的色差公式,计算出两样品间的色差,可以理解为这一色差值反映了两个不同的色刺激在大脑中产生的感觉上的差别。这也是为什么选用△E作为色差符号的原因。希腊字母△表示“在……方面的差别”,而E则是德语单词Empfindung(感觉)的第一个字母。
色差仪作为光电仪器,其测量原理采用最广泛使用于测量物体色调的国际照明委员会(CIE)的CIE1976L*a*b*色度系统,借助均匀色的立体表示方法将所有的颜色用L*,a*,b*三个轴的坐标来定义。L*为垂直轴也即中轴,代表明度上白下黑,其值从底部0(黑)到顶部100(白)。中间为亮度不同的灰色过度,有100个等级;a*、b*坐标组成的色度平面是一个圆,表示不同的色彩方向,a*代表红绿轴上颜色的饱和度,其中-a*为绿,+a*为红;b*代表蓝黄轴上颜色的饱和度,其中-b*为蓝,+b*为黄。a*,b*都是水平轴。L*,a*,b*不仅可以精确地表示各种色调,它也为两种色调之间的差即色差表示带来了方便,尤其是在研究或测定近似颜色的差别程度时(比如同一原材料不同批次的比较),匀色空间L*a*b*表色系上任意两点间的距离都可以表示两个颜色之间的总色差。
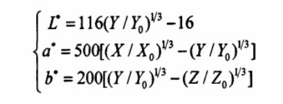
CIE1976Lab空间由CIEXYZ系统通过数学方法转换得到,转换公式为:

其中X、Y、Z是被测物体的三刺激值;X0、Y0、Z0为选定参考白的三刺激值;L*表示心理明度;a*、b*为心理色度。
从上式转换中可以看出:由X、Y、Z变换为L*、a*、b*时包含有立方根的函数变换,经过这种非线形变换后,原来的马蹄形光谱轨迹不复保持。转换后的空间用笛卡儿直角坐标体系来表示,形成了对立色坐标表述的心理颜色空间,如下图所示。在这一坐标系统中,+a*表示红色,-a*表示绿色,+b*表示黄色,-b*表示蓝色,颜色的明度由L*的百分数来表示。

通常人们把两种颜色在色彩上给人感觉上的差别叫做色差。若两个色样样品都按L*、a*、b*标定颜色,则两者之间的总色差ΔE*Lab以及各项单项色差可用下列公式计算:
明度差:ΔL*=L*1-L*2;
色度差:Δa=a*1-a*2,Δb=b*1-b*2;
总色差:ΔE*Lab=[(ΔL)2+(△a)2+(Δb)2]1/2
1939年,美国国家标准局采纳了贾德等的建议而推行Y1/2、α、β色差计算公式,并按此公式计算颜色差别的大小,以绝对值1作为一个单位,称为“NBS色差单位”。一个NBS单位大约相当于视觉色差识别阀值的5倍。如果与孟塞尔系统中相邻两级的色差值比较,则lNBS单位约等于0.1孟塞尔明度值,0.15孟塞尔彩度值,2.5孟塞尔色相值(彩度为1);孟塞尔系统相邻两个色彩的差别约为10NBS单位。如果将NBS的色差单位与人的色彩感觉差别用下表来描述,则NBS单位在工业应用上是有价值的。后来开发的新色差公式,往往有意识地把单位调整到与NBS单位相接近,例如ANLAB40,Hunter Lab以及CIE LAB、CIE LUV等色差公式的单位都与NBS单位大略相同(不是相等)。

因此,我们不要误解以为任何色差公式计算出的色差单位都是NBS。为了防止与NBS单位相混淆,后来英国染化家学会提出用ANLAB公式计算的色差单位称为“ANLAB色差单位”。当然,我们也可以用“CIELAB色差单位”和“CIELUV色差单位”来表示。只是我们应该知道:用不同的色差公式计算得到的色差值是不同的,而且彼此不存在简单的换算关系。
文章标签: 色差仪
3nh经济型60°光泽度仪YG60S金属五金光泽度计玻璃汽车漆光泽仪
¥500.00
3nh分光测色仪油漆涂料色差仪平面光栅测色仪TS7700颜色分析仪
¥36800.00
¥26800.00
3nh标准光源箱DOHO对色灯箱经典五光源印刷纺织标准光源箱D60(5)
¥1100.00
3nh对色灯箱印刷纺织标准光源DOHO服装对色展台D60(6)比色看色箱
¥1300.00
3nh颜色分析仪YS6010玻璃陶瓷反射测色仪液体膏状透射台式色差仪
¥58800.00
印刷照明光管D65纺织看色光源仿日光标准光源烟草筛选3nh对色灯管
¥180.00
标准光源D65对色灯管36W965工业看色比色高显指光源看样灯管
¥90.00
ISO12233分辨率测试卡镜头增强型测试卡解析度测试卡清晰度chart
¥500.00
2014版e-SFR分辨率测试卡ISO12233镜头检测图卡实验室测试chart图
¥1050.00
3nh经济型60°光泽度仪YG60S金属五金光泽度计玻璃汽车漆光泽仪
¥500.00
3nh分光测色仪油漆涂料色差仪平面光栅测色仪TS7700颜色分析仪
¥36800.00
¥26800.00
3nh标准光源箱DOHO对色灯箱经典五光源印刷纺织标准光源箱D60(5)
¥1100.00
3nh对色灯箱印刷纺织标准光源DOHO服装对色展台D60(6)比色看色箱
¥1300.00
3nh颜色分析仪YS6010玻璃陶瓷反射测色仪液体膏状透射台式色差仪
¥58800.00
印刷照明光管D65纺织看色光源仿日光标准光源烟草筛选3nh对色灯管
¥180.00
ISO12233分辨率测试卡镜头增强型测试卡解析度测试卡清晰度chart
¥500.00
2014版e-SFR分辨率测试卡ISO12233镜头检测图卡实验室测试chart图
¥1050.00
24色色卡 ColorChecker测试图卡色彩再现测试图色彩白平衡测试卡
¥1500.00



