文章摘要:色差仪作为光电测色仪器,其内部配有多种类型的颜色空间,以使颜色的测量具有一定的评定标准。目前,在色差仪中常见的颜色空间有CIELAB、XYZ、RGB等,不同的颜色空间评定颜色的标准是不一样的。那么,色差仪不同色彩模型怎么转换?色差仪Lab模型怎么计算色差?本文对色差仪颜色空间转换公式及Lab颜色空间的色差公式做了介绍,感兴趣的朋友可以了解一下!
色差仪作为光电测色仪器,其内部配有多种类型的颜色空间,以使颜色的测量具有一定的评定标准。目前,在色差仪中常见的颜色空间有CIELAB、XYZ、RGB等,不同的颜色空间评定颜色的标准是不一样的。那么,色差仪不同色彩模型怎么转换?色差仪Lab模型怎么计算色差?本文对色差仪颜色空间转换公式及Lab颜色空间的色差公式做了介绍,感兴趣的朋友可以了解一下!

1.RGB色彩模型
由三基色原理可知,大多数颜色可以由红、绿、蓝三基色按照不同的比例合成。RGB颜色空间是在三基色理论上开发的相加混色颜色空间,在RGB颜色空间中,任意色光都能由R、G、B三色按比例相加合成。
RGB颜色空间是由六块色片所包围的立方体区域构成的,其内部的每一个点都代表着一种不同的颜色。国际照明委员会(CIE)将RGB每个分量都分为256级,因此每个通道分量的取值范围为0-255,共能表示256*256*256(约1600万)种颜色。在颜色空间的原点处,三基色都为0,即原点对应的是黑色(0,0,0),距离原点最远的顶点,即立方体原点的斜对角的顶点处的三原色分量为达到最高值,为白色(255,255,255)。除黑白两点所在的顶点外,立方体剩下的六个顶点,有三个顶点分别为三基色,如图中标注的红、绿、蓝,剩下的三个顶点表示的颜色是三原色中两两混合之后的颜色,为品红、青和黄。在该立方体内部,任意颜色F可以表示为坐标中的一点,调整三原色中任一系数都会改变F的坐标值,同时,改变任一颜色,三原色的三色值也会发生变化。
RGB颜色空间采用物理三原色对颜色进行表示,这种方式比较简单,但给定任意一个R、G、B值,无法准确知道所表述的颜色,并不符合人的视觉特点。而且RGB颜色空间不是一个均匀的颜色空间,即空间坐标上等距离的两点并不能表示出颜色的差异性,因此,RGB颜色空间并不适合用作色差检测。
2.XYZ色彩模型
XYZ色彩模型是一个非常重要的颜色模型,在RGB系统的基础上,采用坐标变换的方法用理想的三原色代替实际的三原色,其中X为理想的红原色,Y为理想的绿原色,Z为理想的蓝原色。
但是不管是RGB模型还是XYZ模型,都不是一个均匀的颜色空间,也就是说,在不同的色度和亮度区域,人对于颜色的分辨力是不一致的。这样的空间对于利用色差做图像处理是不利的,且不利于颜色的分辨。寻求一种新的颜色空间,使该空间的距离大小与视觉上的色差感觉呈正比,这就是用均匀的L*a*b*模型。
3.Lab色彩模型
L*a*b*模型比XYZ模型更具均匀性,也更符合人的视觉心理,因此,在图像处理中运用极其广泛。L*a*b*模型可由XYZ模型转换得到,L*a*b*模型是把颜色按其所含红、绿、黄、蓝的程度来度量的。将红度(正向)和绿度(负向)同置于一根横轴(a*轴)上,而将黄度(正向)和蓝度(负向)同置于纵横轴(b*轴)上,垂直于a*b*平面的第三根轴为明度L*,这就是L*a*b*模型。
从RGB模型到L*a*b*模型是不能直接转换的,因此,首先从RGB模型转换到XYZ模型,然后再转换为L*a*b*模型。
从RGB模型到XYZ模型可以通过乘以一个3×3矩阵转换,它们之间存在下面的线性关系:

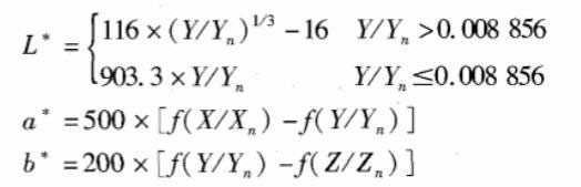
L*a*b*模型是直接从XYZ模型上发展起来的,它们之间的关系是非线性的,相应的转换公式如下:

这里,当t>0.008856 时,f(t)=t1/3,否则f
(t)=7.787t+16/116。坐标(Xn,Yn,Zn)相应于报纸白光(即R、G、B分别等于255)所对应的X、Y、Z 值。
在L*a*b*模型中,L*为米制明度,a*、b*为米制色品。这样,(L1*,a1*,b1*)和(L2*,a2*,b2*)两个颜色的明度差为:△L*=L2*-L1*,色品差为:△a*=a2*-a1*和△b*=b2*-b1*。总体色差可用空间的几何距离表示:

当△L*>0时,说明样品比标准色浅,明度高,反之则低;当△a*.>0时,说明样品比标准偏红,反之偏绿;当△b*>0时,说明样品比标准偏黄,反之偏蓝。
色差的单位是NBS(美国国家标准局的缩写,即△E=1时称为1个NBS色差单位),NBS单位与色差感觉值的对应关系如下表所示:

文章标签: 色差仪
3nh经济型60°光泽度仪YG60S金属五金光泽度计玻璃汽车漆光泽仪
¥500.00
3nh分光测色仪油漆涂料色差仪平面光栅测色仪TS7700颜色分析仪
¥36800.00
¥26800.00
3nh标准光源箱DOHO对色灯箱经典五光源印刷纺织标准光源箱D60(5)
¥1100.00
3nh对色灯箱印刷纺织标准光源DOHO服装对色展台D60(6)比色看色箱
¥1300.00
3nh颜色分析仪YS6010玻璃陶瓷反射测色仪液体膏状透射台式色差仪
¥58800.00
印刷照明光管D65纺织看色光源仿日光标准光源烟草筛选3nh对色灯管
¥180.00
标准光源D65对色灯管36W965工业看色比色高显指光源看样灯管
¥90.00
ISO12233分辨率测试卡镜头增强型测试卡解析度测试卡清晰度chart
¥500.00
2014版e-SFR分辨率测试卡ISO12233镜头检测图卡实验室测试chart图
¥1050.00
3nh经济型60°光泽度仪YG60S金属五金光泽度计玻璃汽车漆光泽仪
¥500.00
3nh分光测色仪油漆涂料色差仪平面光栅测色仪TS7700颜色分析仪
¥36800.00
¥26800.00
3nh标准光源箱DOHO对色灯箱经典五光源印刷纺织标准光源箱D60(5)
¥1100.00
3nh对色灯箱印刷纺织标准光源DOHO服装对色展台D60(6)比色看色箱
¥1300.00
3nh颜色分析仪YS6010玻璃陶瓷反射测色仪液体膏状透射台式色差仪
¥58800.00
印刷照明光管D65纺织看色光源仿日光标准光源烟草筛选3nh对色灯管
¥180.00
ISO12233分辨率测试卡镜头增强型测试卡解析度测试卡清晰度chart
¥500.00
2014版e-SFR分辨率测试卡ISO12233镜头检测图卡实验室测试chart图
¥1050.00
24色色卡 ColorChecker测试图卡色彩再现测试图色彩白平衡测试卡
¥1500.00



