文章摘要:色差仪在测量颜色时,采用了CIE规定的不同颜色空间,并在此颜色空间下用明度、彩度和饱和度对颜色进行定量的描述,再经过色差公式对色差值△E进行计算。那么,色差仪怎么计算△E值?色差仪△E值计算公式有哪些?本文为大家做了介绍,感兴趣的朋友可以了解一下!
色差仪在测量颜色时,采用了CIE规定的不同颜色空间,并在此颜色空间下用明度、彩度和饱和度对颜色进行定量的描述,再经过色差公式对色差值△E进行计算。那么,色差仪怎么计算△E值?色差仪△E值计算公式有哪些?本文为大家做了介绍,感兴趣的朋友可以了解一下!

一般来讲,从拿到颜色样品到根据计算结果做出客观色差评价,大致需以下三个步骤:
1.测量样品
即使用合适的颜色测量仪器(光谱光度计)以获得代表样品光学特性的分光反射率ρ(λ)或分光透过率τ(λ);
2.计算三刺激值
即通过色度学的基础数据和测得的样品分光反射率,按规定公式求取三刺激值。实际上是客观定量地给出样品的颜色对人眼视网膜上视觉感光细胞产生的刺激,这种刺激通过神经冲动传至大脑,最终形成颜色的主观感觉;
3.计算色差值(△E)
即按一定的色差公式,计算出两样品间的色差,可以理解为这一色差值反映了两个不同的色刺激在大脑中产生的感觉上的差别。这也是为什么选用△E作为色差符号的原因。希腊字母△表示“在……方面的差别”,而E则是德语单词Empfindung(感觉)的第一个字母。
色差公式经历了漫长的发展历程,从CIE1931彩色空间,CIE1960均匀彩色空间,CIE1964均匀彩色空间再到CIE1976L*a*b*(CIELAB)均匀彩色空间。色差公式随着时间发展慢慢得到了改进间。从较有影响力的CIE1976L*a*b*色差公式开始,紧接着又提出了CMC(l:c)、CIE94、BFD和LCD这四个色差公式。随后又提出了CIEDE2000色差公式,CIEDE2000结合了这四个公式的长处,因此它被认为是目前与人类主观视觉感受最为吻合的色差公式,其优点很多,特别是对小色差有更为理想的色像、彩度、明度加权函数。下面就CIE1976L*a*b*色差公式和CIEDE2000色差公式进行介绍。
1.CIELAB色差公式
CIE1976L*a*b*均匀颜色空间反应了人类主观视觉感受,所以在坐标系中任意两点的距离表示的就是人眼感受到的色差,即:

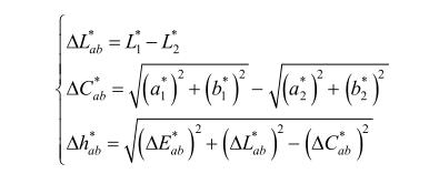
其中,L*1、a*1、b*1和L*2、a*2、b*2分别表示坐标系中任意两点的坐标参数。并且该色差公式对与主观视觉感受直接相对应的明度差△L*ab,饱和度差△C*ab和色调差Δh*ab也进行了定义。

2.CIEDE2000色差公式
由于人眼与色差计在色度图中不同位置的色彩评估方法和形状上的差异,引起了许多色彩评定时测量数据与目测结论不匹配的问题,CIE2000色差计算公式的提出,就是为了解决这个问题和难题。CIE2000色差公式并不是创建了一个新的人眼辨别临界区均匀的色空间,而是重新定义了色差计算方法,使得在整个CIELab(L"a*b*色度空间)中,色差计算值与人眼评估更为接近。新的色差公式在原色差计算公式基础上,另外特别引用了三个新的重量系数SL,SC和SH,分别代表了在亮度△L*、饱和度△C*和色调△H*方向上的差异程度。

计算步骤:
第一步:计算CIELAB公式中的L*、a*、b*、C*ab。

第二步:计算L'、a'、C’和h'。

G表示CIELAB颜色空间的轴的调整因子,a*是彩度的函数。C*ab是C*ab的算术平均值。
第三步:计算△L'、△C'ab、△H'ab。

第四步:计算SL、SC、SH、和T。

其中,L为两个样品L'、L'2的算术平均值;C'ab为两个样品C'ab,1、C'ab,2的算术平均值;h'ab为两个样品h'ab,1、h'ab,2的算术平均值。
第五步:代入CIEDE2000色差公式计算。
色差△E的单位是NBS(美国国家标准局的缩写),由1942年亨特的均匀色空间推导出的色差公式所决定的。选用它作为单位是由于计算得到的色差单位与CIE1964色差公式单位相同。在相对最优的测量环境条件下,△E=1时即为一个 NBS色差单位,相当于在人眼分辨色差值的5倍。在CIEx-y色品图的中心,一个NBS色差单位相当于x、y变化 0.0015~0.0025 个色坐标单位。物体颜色差异究竟范围是多大,要根据具体情况而定。NBS单位的感觉值如下表 所示:

例如,对于涂料,颜色可以定为小于1NBS色差单位;对于纺织品颜色定为小于2NBS色差单位;对于印刷品小于5NBS色差单位;彩电取大于4小于5个NBS色差单位。
文章标签: 色差仪
3nh经济型60°光泽度仪YG60S金属五金光泽度计玻璃汽车漆光泽仪
¥500.00
3nh分光测色仪油漆涂料色差仪平面光栅测色仪TS7700颜色分析仪
¥36800.00
¥26800.00
3nh标准光源箱DOHO对色灯箱经典五光源印刷纺织标准光源箱D60(5)
¥1100.00
3nh对色灯箱印刷纺织标准光源DOHO服装对色展台D60(6)比色看色箱
¥1300.00
3nh颜色分析仪YS6010玻璃陶瓷反射测色仪液体膏状透射台式色差仪
¥58800.00
印刷照明光管D65纺织看色光源仿日光标准光源烟草筛选3nh对色灯管
¥180.00
标准光源D65对色灯管36W965工业看色比色高显指光源看样灯管
¥90.00
ISO12233分辨率测试卡镜头增强型测试卡解析度测试卡清晰度chart
¥500.00
2014版e-SFR分辨率测试卡ISO12233镜头检测图卡实验室测试chart图
¥1050.00
3nh经济型60°光泽度仪YG60S金属五金光泽度计玻璃汽车漆光泽仪
¥500.00
3nh分光测色仪油漆涂料色差仪平面光栅测色仪TS7700颜色分析仪
¥36800.00
¥26800.00
3nh标准光源箱DOHO对色灯箱经典五光源印刷纺织标准光源箱D60(5)
¥1100.00
3nh对色灯箱印刷纺织标准光源DOHO服装对色展台D60(6)比色看色箱
¥1300.00
3nh颜色分析仪YS6010玻璃陶瓷反射测色仪液体膏状透射台式色差仪
¥58800.00
印刷照明光管D65纺织看色光源仿日光标准光源烟草筛选3nh对色灯管
¥180.00
ISO12233分辨率测试卡镜头增强型测试卡解析度测试卡清晰度chart
¥500.00
2014版e-SFR分辨率测试卡ISO12233镜头检测图卡实验室测试chart图
¥1050.00
24色色卡 ColorChecker测试图卡色彩再现测试图色彩白平衡测试卡
¥1500.00



